Login für Abonnenten

Please log in to read subscribed content.




  • Content
  • Events Calendar
  • Editorial team
  • Subscription
  • Media
  • Newsletter
wire
wire
  • Reports
  • Business
  • Research + Development
  • Products
  • Whitepaper
  • Call umformtechnik.net
  • Issues digital
search.box
  • Content
    • Reports
    • Business
    • Research + Development
    • Products
    • Whitepaper
    • Call umformtechnik.net
    • Issues digital
  • Events Calendar
  • Editorial team
  • Subscription
  • Media
  • Newsletter

24/06/2024 – Cable manufacturing / simulation

Cable analysis using 3D modeling and simulation technology

NKT in Sweden uses numerical modeling to investigate electromagnetic fields and calculate armor losses in 3D cable designs. The modeling results were validated with experimental measurements in order to be able to carry out design analyses with the aid of simulations.

Previous image
Cable-simulation.png

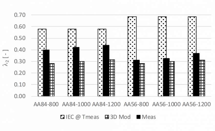
Fig. 4: Validated results, clockwise from top left: IEC, measured and modeled losses in five cable designs; measured and modeled shield currents; IEC, measured and modeled values of ?1; and IEC, measured and modeled values of ?2. © Comsol

 
Cable-simulation.png

Fig. 1: A 3D cable modeled in the Comsol “Multiphysics” simulation software. © Comsol

 
Cable-simulation.png

Fig. 2: The geometry of the 3D magnetic flux in the air gap between the conductors in the armored cable model. © Comsol

 
Cable-simulation.png

Fig. 2: The geometry of the 3D magnetic flux in the air gap between the conductors in the armored cable model. © Comsol

 
Cable-simulation.png

Fig. 3: Magnetic properties of the cable, calculated from the hysteresis curves. © Comsol

 
Cable-simulation.png

Fig. 4: Validated results, clockwise from top left: IEC, measured and modeled losses in five cable designs; measured and modeled shield currents; IEC, measured and modeled values of ?1; and IEC, measured and modeled values of ?2. © Comsol

 
Cable-simulation.png

Fig. 4: Validated results, clockwise from top left: IEC, measured and modeled losses in five cable designs; measured and modeled shield currents; IEC, measured and modeled values of ?1; and IEC, measured and modeled values of ?2. © Comsol

 
Cable-simulation.png

Fig. 4: Validated results, clockwise from top left: IEC, measured and modeled losses in five cable designs; measured and modeled shield currents; IEC, measured and modeled values of ?1; and IEC, measured and modeled values of ?2. © Comsol

 
Cable-simulation.png

Fig. 4: Validated results, clockwise from top left: IEC, measured and modeled losses in five cable designs; measured and modeled shield currents; IEC, measured and modeled values of ?1; and IEC, measured and modeled values of ?2. © Comsol

 
Back to article

Further articles for:

  • cable manufacture
  • simulation

Comsol Multiphysics GmbH

  Show company
  • Most read
  • Latest

31/10/2025

Wireco introduces “Boomfit”

Steel rope for telescopic, crawler, and tower cranes

By  Jörg Dambock

31/10/2025

Wireco introduces “Boomfit”

Steel rope for telescopic, crawler, and tower cranes

By  Jörg Dambock

30/10/2025

“MATdiscover” by Isend

Optimizing quality control in industrial springs

By  Jörg Dambock

29/10/2025

Two independent 3D bending head types in one machine

CNC bending machines for the wire industry

By  Jörg Dambock

28/10/2025

Partnership agreement

Keba enters into partnership with HMK in the UK

By  Jörg Dambock

27/10/2025

On our own account - WIRE

Review of the industry - week 43/2025

By  Daniel Keienburg

  • Meisenbach Verlag
  • Imprint
  • Data Privacy
  • Media
  • Twitter
  • RSS Feed
Meisenbach Logo